bevictor伟德(中国)-官方网站
设为首页
|
加入收藏
首页
|
学院概况
|
学院简介
专业介绍
组织机构设置
党建思政
|
党建动态
师资队伍
|
导师
学院教师
教授
副教授
讲师
学科建设
|
学位点介绍
研究平台
学术交流
本科教学
|
通知公告
实践教学
教学研究与改革
研究生培养
|
通知公告
研究生导师
学生工作
|
团学动态
资助工作
就业工作
日常管理
科学研究
|
通知公告
在研项目
学术成果
科研平台
校友工作
|
下载专区
|
English
Institute Introduction
Major
News and Events
研究生培养
通知公告
研究生导师
通知公告
当前位置:
首页
>
研究生培养
>
通知公告
> 正文
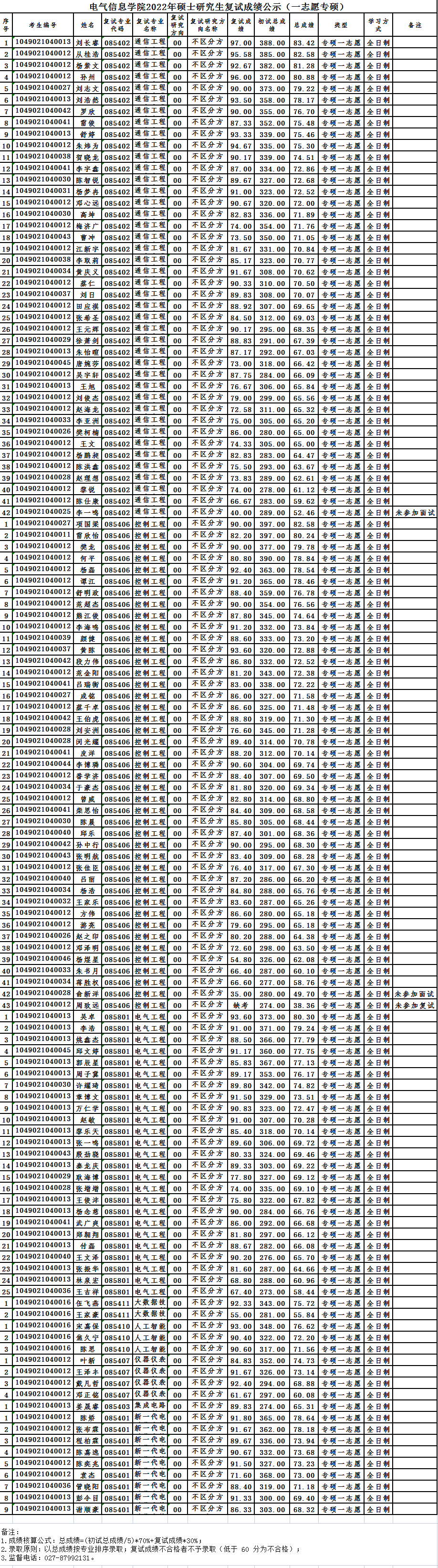
伟德(bevictor)官方网站2022年硕士研究生复试成绩公示(一志愿专硕)
发布时间:2022-04-08 发布者: 点击阅读数:
上一条:
伟德(bevictor)官方网站2022年硕士研究生复试成绩公示(一志愿专硕-士兵计划专项)
下一条:
武汉工程大学伟德(bevictor)官方网站2022年硕士研究生招生复试时间及调剂系统开放时间公告
快速链接:
版权所有©bevictor伟德(中国)-官方网站 TEL:027-87992157